-
[유데미x스나이퍼팩토리] 10주 완성 프로젝트 캠프 프론트엔드(리액트/react) 3일차 - 서비스기획2 강의 후기스나이퍼 팩토리 2023. 6. 7. 17:20

2일차는 휴일이였다.
그래서 그런지 3일차가 순식간에 돌아온 느낌. 집중해서 내 시간을 제대로 챙기지 않는다면 10주는 금방 지나갈 것이다.
집중하자.
서비스기획2 강의
UML을 통한 서비스 흐름 잡기
UML이란
UML은 Unufied Modeling Language의 약자이다.
복잡한 사람들의 사고와 생각을 표현하는 도구.
구축에 대한 소프트웨어, 프로그래밍이 아닌 시스템 자체의 산출물의 역할을 시각화 하여 규정하는데 목적을 두고 있음
이런 과정을 통해 꼭 필요한 행위를 기반으로 한 *객체 지향 모델링이 가능해짐
*객체지향이란
하나하나 객체로 이루어져 있는 모델링.
예전에는 하나로 이루어졌었지만 기존에 문제점은 하나가 고장나면 전체가 돌아가지않는 문제점을
개선하기 위하여 객체지향이 발생.
UML에서 정의하는 모델링이란?
어떠한 현상들을 단순화, 일반화, 추상화 하는 과정으로 아래와 같은 장점을 가지고 있다.
1. 내부 구조나 동작하는 행위에 대한 표현의 자유
2. 시스템의 구성 요소들이 서로 어떻게 연결되어 있는지 확인 가능
3. 설계와 구현 간의 일관성 유지
4. 레벨화 가능
5. 명확한 의사 소통의 도구
왜 UML을 배워야 하나?
우리는 플랫폼을 만들 때 2가지 근본적인 어려움을 겪고 있다.
복잡성 / 변경
UML은 이야기가 가능한 시각화 Tool이다.
이런 문제점을 해결하기 위해서는 규격화된 규칙으로 인한 손쉽게 이해할 수 있는 시각화가 필요하다.
*즉 글로 백날 설명하는 것보다 한번 이미지로 보는 것이 훨씬 이해가 쉽다.
UML은 사람의 행위를 기반으로 한다.
UML은 사람의 행위를 기반으로 단계적 과정을 시점상으로 표현한 것으로 절차와 단계의 가설을 키워드로 표현하고
시나리오를 확장하는 순차적 단계를 지니고 있다.
프로세스는 사전점검이 필요하다. 어떤것이 가장먼저 필요한 것인지.
그래야 추후 재수정 과정을 필연적으로 줄여줄 수 있따.
UML은 사용자의 문제를 기반으로 모델링한다.사람이 가장 이해하기 쉬운 이야기 전개방식인 UML은 실제 사용자들이 플랫폼 관점으로 구축을 전개하는 것이 아닌사용자들의 문제를 기반으로UML 모델링의 이점
UML로 모델링을 하면 다음과 같은 이점을 가질 수 있다.
1. 시각화
2. 이해도
3. 정확성
4. 의사전달
5. 일관성
이는 모두 성공적 플랫폼 구축을위한 필수 요건이다.
이런 성공적인 요건이 필요한 베이스가 기반되지않은채로 프로젝트가 진행된다면 지치고 힘든 방식이 될 수 밖에 없을 것이다.
UML 다이어그램의 종류
다양한 다이어그램이 있지만 이중에서도 꼭 중요한 다이어그램은
Activity Diagram
Use Case Diagram
이 있다.
플랫폼을 구축할 때 하나하나 연관성들을 정리하며 개발하여야 추후 유지보수성이 뛰어나다.
UML 단계
1. 요구파악
2. 분석
3. 설계
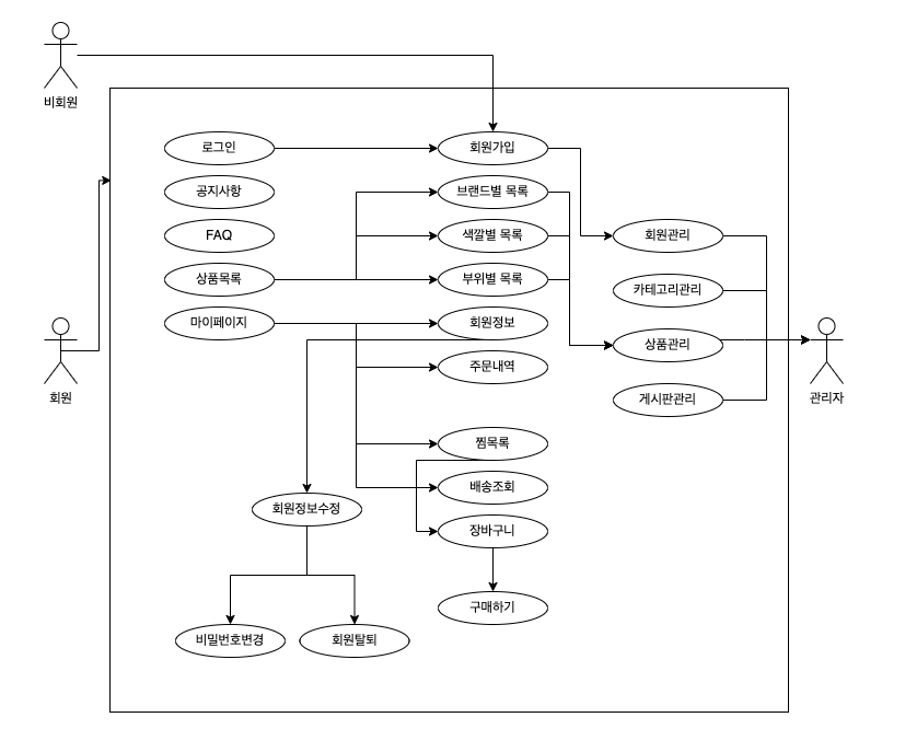
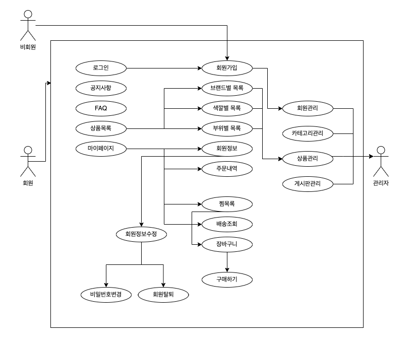
유스케이스 다이어그램
유스케이스 다이어그램(USE CASE DIAGRAM)은 시스템의 행위를 모델링 하며 시스템의 요구사항을 표현하는데 사용된다.
시스템의 상위 레벨 기능과 범위를 기술하며, 시스템이 기능을 어떻게(HOW) 구현할 것인지 기술하지 않는다.
시스템이 어떤 "WHAT" 기능이 필요한지에 대해서만 표현
근본적으로 UML은 마인드맵보다 선행되어야 한다.
* 즉 브레인스토밍처럼 필요한 것들을 다 작성, 위에 기술하였듯이 어떻게(HOW)는 생각하지 않는다.
draw.io를 통해 다이어그램그리기

유스케이스 다이어그램의 간단한 예시 

마인드맵을 유스케이스 다이어그램으로 표현하였다. 저번시간에 만들어봤던 마인드 맵을 유스케이스 다이어그램으로 만들어봤다.
대략적으로 이런 느낌이다라는 감은 잡혔으나,
유스케이스 다이어그램이란 것은 결국 시각화하여 남들에게 직관적으로 이해하기 쉽게 보여주기 위함이다.
그러한 측면으로 봤을땐 내가그린건 역시 빵점이다.
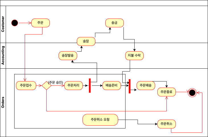
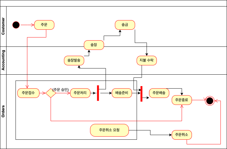
액티비티 다이어그램 (활동다이어그램)
활동 다이어그램은 시스템의 실행과 행위의 흐름을 표현한다.
비즈니스 프로세스 또는 작업에서 이용하는 고객의 흐름을 표현하는데 적합하다.
기획을 해야할 때
탈퇴회원 관리도 생각해야하고 중요하다.
액티비티 다이어그램+디자인 = 와이어프레임은 아니다
액티비티 다이어그램은 ux에 치중이 되어있고
와이어프레임은 ui에 치중이 되어있다.
좀더 액티비티 다이어그램은 애자일 형식을 따른다.
유저가 직접적으로 맞부딪치는 영역은
퍼블리셔, 디자인, 개발자 영역이므로 좀 더 신경써야한다??
* As-is , To-Be
As-Is / To-Be 기법은 현재(as is)와 이상(to be) 사이의 차이(gap)을 찾아내어 목적을 개선하여 달성하는 비즈니스 기법이다.
간단히 쉽게 용어의 핵심만 정리하면 아래와 같다.
- AS-IS 분석 : 현재의 상태나 모습 (개선 되기 이전 상태)
- TO-BE 분석 : 미래의 이상적인 상태나 목표 (개선된 후의 상태)
- GAP 분석 : as-is 와 to-be 사이의 차이를 분석해서 방향 제시 (개선을 하기위해 어떤 노력을 해야하는지)
GMB 1뎁스
3뎁스 안에 원하는게 해결되는게 정석이고 효과적이다.
4-5뎁스까지 가면 굉장히 좋지않다고 볼 수 있다.
* 즉 홈페이지에 접속해서 홈으로부터 원하는 서비스까지 가는 스텝이 3스텝안으로 해결되는 것이 효과적이고 이상적인 ui/ux이다. 라고 이해.
과제 - 액티비티 다이어그램을 만들어보세요
실습
시스템의 유저 흐름을 정의해보세요
1. 새로운 다이어그램 만들기 (고급 > Horizontal pool 1)
2. 관계를 기술하세요
3. 시작점과 끝점의 흐름을 잡아보세요

인터넷주문배송 액티비티 다이어그램 액티비티 다이어그램은 언뜻 바로 이해가 되지않았다. 그래서 인터넷으로 찾아보고 비슷한 예제를 찾고 따라 그려보니 그제서야 조금 감이 오는 것 같다.
As-is / To-be 용어풀이 출처 :
https://inpa.tistory.com/entry/%F0%9F%91%A9%E2%80%8D%F0%9F%92%BB-AS-IS-TO-BE-%EB%9E%80
👩💻 AS-IS / TO-BE 란 무슨 뜻 일까?
AS-IS / TO-BE 기법 As-Is / To-Be 기법은 현재(as is)와 이상(to be) 사이의 차이(gap)을 찾아내어 목적을 개선하여 달성하는 비즈니스 기법이다. 간단히 쉽게 용어의 핵심만 정리하면 아래와 같다. AS-IS 분
inpa.tistory.com
본 후기는 유데미-스나이퍼팩토리 10주 완성 프로젝트캠프 학습 일지 후기로 작성 되었습니다.
'스나이퍼 팩토리' 카테고리의 다른 글
[유데미x스나이퍼팩토리] 10주 완성 프로젝트 캠프 프론트엔드(리액트/react) 8일차 (0) 2023.06.21 [유데미x스나이퍼팩토리] 10주 완성 프로젝트 캠프 프론트엔드(리액트/react) 16일차 - 과제 제출 (0) 2023.06.20 [유데미x스나이퍼팩토리] 10주 완성 프로젝트 캠프 프론트엔드(리액트/react) 9일차 - 과제 제출 (0) 2023.06.13 [유데미x스나이퍼팩토리] 10주 완성 프로젝트 캠프 프론트엔드(리액트/react) 5일차 - 서비스기획3 후기 (0) 2023.06.11 [유데미x스나이퍼팩토리] 10주 완성 프로젝트 캠프 프론트엔드(리액트/react) 1일차 - 서비스기획 강의 후기 (1) 2023.06.07